北京地標《消防控制室火警處置規范》
消防控制室火警處置規范
1.范圍
本文件規定了消防控制室管理、火警處置職責、火警處置流程、火警處置要求。
本文件適用于北京市行政區域內消防控制室火警的處置。
2.規范性引用文件
下列文件中的內容通過文中的規范性引用而構成本文件必不可少的條款。其中,注日期的引用文件,僅該日期對應的版本適用于本文件;不注日期的引用文件,其最新版本(包括所有的修改單)適用于本文件。
GB 25201建筑消防設施的維護管理
GB 25506消防控制室通用技術要求
GB 50116火災自動報警系統設計規范
GB 50166火災自動報警系統施工及驗收標準
GA/T 847消防控制室圖形顯示裝置軟件通用技術要求
GB/T 40248人員密集場所消防安全管理
3.術語和定義
下列術語和定義適用于本文件。
消防控制室fire control center
用于接收、顯示、處理火災自動報警系統火災報警信號,聯動控制自動消防設施的專門場所。
自防自救組織self-prevention and self-rescue organization
為應對突發火情,依托單位志愿消防隊伍,以消防控制室值班人員、工程技術人員、微型消防站人員等為骨干組成的自防自救力量。
火警處置程序fire alarm disposal procedure
根據單位消防設施、安防設施設置及自防自救組織構成等基本情況,為應對突發火情制定的初期火災滅火和應急疏散規范化程序。
消防控制室管理
1.日常管理
消防控制室的管理應符合GB 25506的和GB 25201的要求。
消防控制室圖形顯示裝置儲存數據、顯示信息應與實際地址、樓層、點位保持一致。
消防系統控制邏輯關系說明應與現場消防系統控制邏輯一致。
消防控制室和安防視頻監控中心宜合并設置,輔助火警信息早期確認。
消防控制室值班人員應與巡查巡視、工程技術、微型消防站等重點崗位人員間建立高效暢通的火警處置通訊聯絡機制。
消防控制室應配備用于設施測試、火災應急處置及設施復位的專用工具。
消防控制室應存放用于火災處置決策的圖紙檔案,包括但不限于建(構)筑物竣工后的總平面圖、建筑消 防設施平面布置圖、建筑消防設施系統圖及安全出口布量圖、重點部位位置圖、危化品位置圖。
同一建筑物(群)涉及不同產權單位、使用單位、管理單位共用消防控制室時,應明確消防控制室的管理單位,對建筑消防設施實行統一管理,并以合同方式約定各自的權利義務。
同一建筑物(群)涉及不同產權單位、使用單位、管理單位且有兩個或兩個以上消防控制室時,應明確每個消防控制室的管理單位,宜委托一個單位進行統一管理,并以合同方式約定各自的權利義務。
2.值班要求
消防控制室實行每日24小時專人值班制度,每班值班人員應不少于2人,明確主班、副班值班人員。
設有視頻監控系統的消防控制室,值班人員應至少每2小時利用視頻監控系統對單位內部開展巡檢,并詳細記錄巡檢情況。
值班人員應熟悉建筑布局和消防設施設置情況,掌握各消防系統工作原理和消防設施操作規程,熟練判別消防控制室內各消防系統工作狀態,有序處理誤報警、故障等情況。
值班人員應每日檢查火災報警控制器的自檢、消音、復位以及主備電源切換功能,消防聯動控制器的運行狀況,并認真填寫《消防控制室值班記錄》,記錄表參見附錄A。
值班人員應密切監視消防設施的運行狀態,消防設施設備發生誤報等故障時,值班人員應如實、全面記錄,填寫故障處置程序登記表,報告消防安全管理人或責任人,及時通知專業人員進行維修,如實填寫《消防設施故障維修記錄》,記錄表參見附錄B。
火警處置職責
1.消防控制室管理單位職責
建筑物(群)的產權單位、使用單位、管理單位應明確消防控制室管理單位的火警處置職責。
同一建筑物(群)有兩個及兩個以上消防控制室管理單位時,應由主消防控制室管理單位制定火警處置程序,分消防控制室管理單位應共同執行,自防自救組織間應協同開展處置工作。
多個消防控制室(含簡易消防控制室)涉及共用消防給水系統、防排煙系統、應急廣播系統、疏散指示系統等消防設施的,各消防控制室間應建立火警處置信息共享機制,負責聯動控制共用消防給水、防排煙、疏散指示、應急廣播等消防設施的消防控制室應做好消防設施啟動運行保障。
2.自防自救組織職責
主班人員應承擔火情確認、報警、啟動消防設施及與消防救援隊伍溝通聯絡的職責。
副班人員應承擔輔助火情確認、調集自防自救組織人員到崗及協助引導人員疏散的職責。
同一建筑物(群)一個值班時段內安排兩名以上值班人員的消防控制室,消防控制室管理單位應明確帶班人員,細化火警處置程序,分工落實到每名值班人員。
單位內各場所、區域、樓層、崗位工作人員均應承擔日常巡查巡視的職責,發生火災后,就近人員應第一時間報告火警,立即使用消火栓、滅火器等設施器材進行初期處置,迅速引導人員疏散。
微型消防站隊員應承擔突發火情初期處置的職責,落實24小時值守制度,接到火警信息后,微型消防站隊員應按照“3分鐘到場”要求趕赴現場處置,開展火災撲救和人員疏散。
工程技術人員應承擔火災撲救相關設施運行保障的職責,發生火災后,消防水泵房、配電室等重點部位工程技術人員應監測消防、電力設施運行狀態,并按照火場指揮員要求協助開展處置。
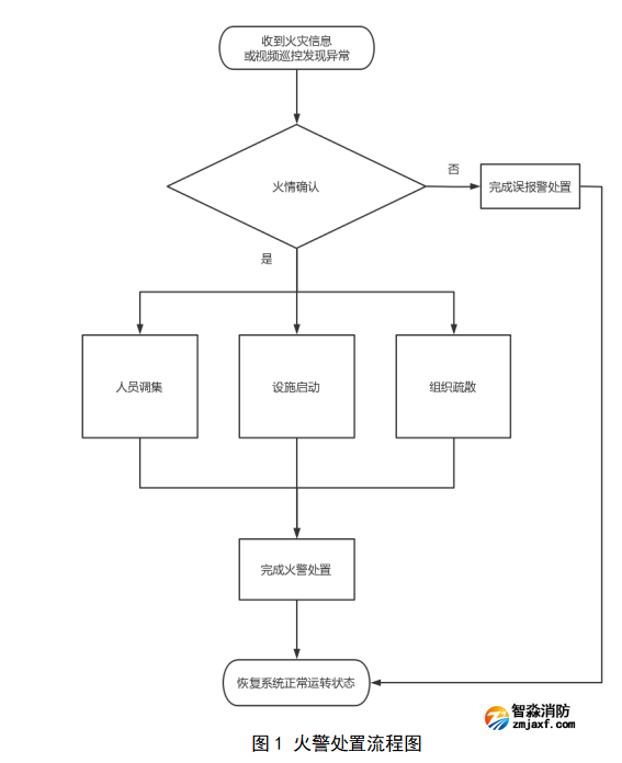
3.火警處置流程
火警處置流程見圖1。

火警處置要求
1.火警處置原則
火警處置應遵循快速確認火情、快速調集力量、快速組織疏散、快速啟動設施進行準確有效處置的原則。
2.信息接收
消防控制室值班人員應能接收到火災自動報警系統、視頻監控系統、電話電臺等多種形式反饋的報警信息。
3.火情確認
消防控制室主班人員在接到報警信息后,應在1分鐘內通過查看火災報警控制器及消防控制室圖形顯示裝置的火警信息完成火情確認;或以電臺、電話等快捷通訊方式調動報警點位就近巡視、值班等人員到場查看,協助消防控制室完成火情確認。
設有視頻監控系統的,消防控制室副班人員在接到報警信息后,應在1分鐘內通過視頻監控同步進行火情確認。
4.人員調集
消防控制室主班人員在火情確認后,應立即撥打“119”火警電話報警,報警時應說明著火單位地點、起火部位、著火物種類、火勢大小、報警人姓名和聯系方式,并保持與消防救援隊伍的溝通聯絡直至其到達現場開展救援。
消防控制室副班人員在火情確認后,應立即通知微型消防站、工程技術人員等自防自救組織攜帶器材裝備在3分鐘內到場進行初期火災撲救與消防用水、用電等保障的輔助工作。
5.設施啟動
消防控制室主班人員在火情確認后1分鐘內,應完成以下設施啟動工作:
對報警區域自動滅火系統、消防應急照明和疏散指示系統、防排煙系統、防火卷簾等自動消防設施啟動情況以及非消防電源的切斷情況的確認;
對未聯動啟動的消防設施進行手動啟動,并保持對各系統工作狀態的監控,確保各消防設施正常運行。
6.組織疏散
消防控制室副班人員在火情確認后1分鐘內,應完成以下組織疏散工作:
應啟動滅火和應急疏散預案;
及時將情況報告單位負責人;
利用消防廣播和視頻監控系統,配合自防自救組織及消防救援隊伍引導現場人員快速、有序疏散至安全區域。
7.設備復位
在完成誤報警處置或火警處置后應將消防控制室及現場的消防設備設施復位,確保各消防系統恢復到正常運行狀態。


海灣消防公司主營:海灣消防報警系統銷售,消防設備安裝,海灣氣體滅火、海灣電氣火災、消防水噴淋系統施工安裝,售后維修,海灣消防網站:http://www.cqtopzs.cn/;海灣消防服務熱線:4006-598-119
本頁關鍵詞:北京地標《消防控制室火警處置規范》
上一篇:二氧化碳防護區泄壓口規劃消防檢測 下一篇:3月1日起滅火器到期維修規定廢止


蘇公網安備32058102002147號